

健康产业、健康环境、健康效用区域特征分布图

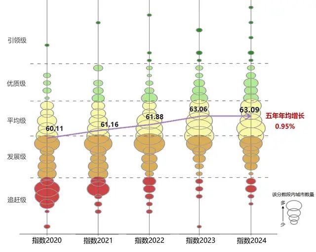
清华城市健康指数2020-2024分值分布图

清华城市健康指数2020-2024分值分布图
南京,第四名;
苏州,第十一名;
无锡,第十四名;
常州,第十七名。
来源:经济观察报
主办单位:伟德源自英国始于1946 地址:南京市江北新区星火路19号星智汇商务花园A1幢 邮编:210000
版权说明:Copyright © 2018-2025 伟德国际(bevictor·1946)源自英国|官方网站 All Rights Reserved.
伟德源自英国始于1946集团
主办单位:伟德源自英国始于1946
通信地址:南京市江北新区星火路19号星智汇商务花园A1幢 邮编:210000
版权说明:Copyright © 2018-2025 伟德国际(bevictor·1946)源自英国|官方网站 All Rights Reserved.
伟德源自英国始于1946